Flat Self Assembly

Inputs: .mp4 top-down video of spherical beads at different
- Number of particles, N
- Amplitude of the vibration, A
Outputs: The estimated entropy of the system
Data Acquisition

- Start the video record.
- On an applied voltage (amplitude), put a set of 10 particles into the plate.
- Wait for 30s for the system to equilibrate.
- Repeat 2, 3 until 205 particles is in a plate.
- Stop the video record.
- Repeat the whole process with different amplitude.
This setup allow minimal perturbance to the data acquisition which help the system equilibrate with a smaller amount of time.
Data Workflow
- Iterate through each frame in the video
- Use circle detection to find the centroid position of each particles
- Repeat for the next frame
- Find optimal transport map between the two frames and correlated the particle in the first frame to the second frame.
- Calculate the momentum from finite difference method
- Bin the position and momentum into histogram
- Calculate the shannon entropy and average energy using the probability estimation from histogram
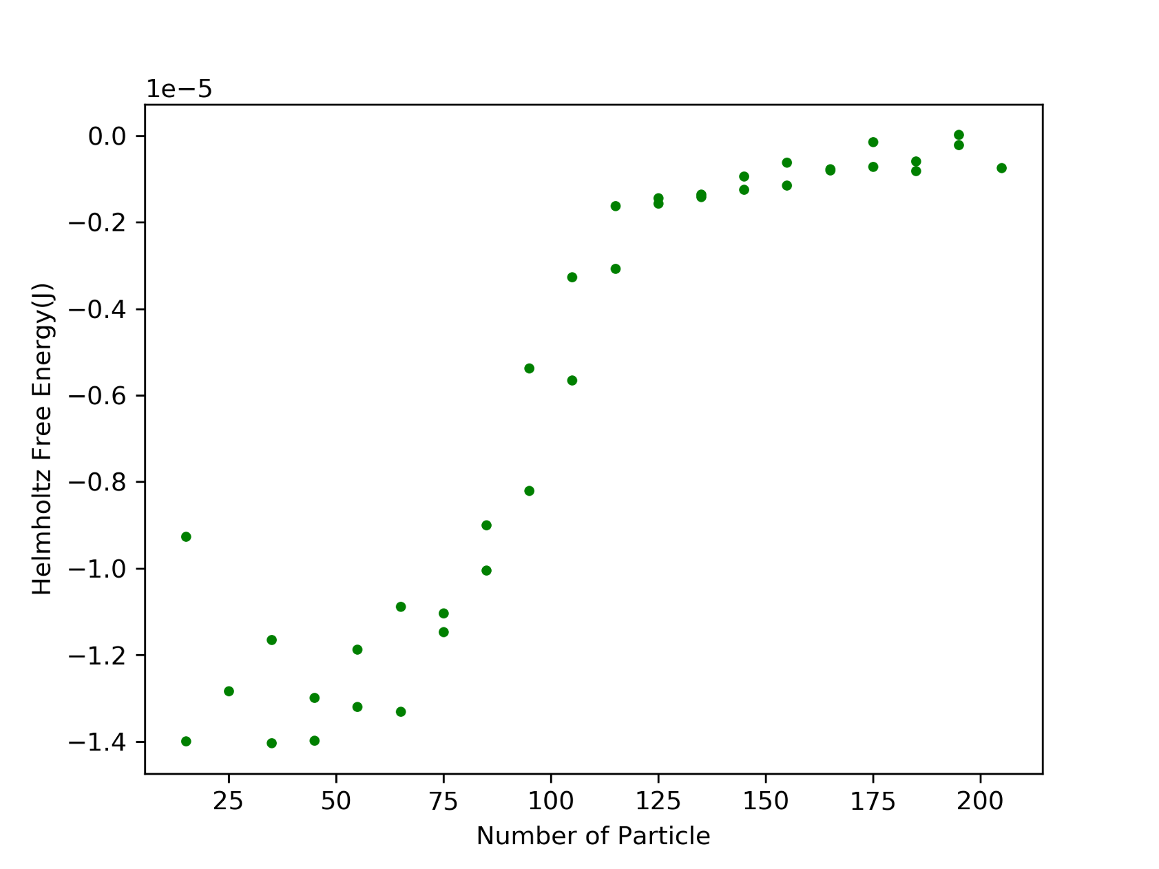
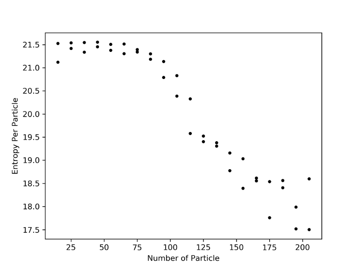
Results
The phase transition is found near N ~ 100 from the discontinuity in free energy, indicating a second order phase transition.